Home
About ICFM
What is ICFM?
How Does ICFM Come About?
Hosting ICFM
Ad hoc committee
News
ICFM Conferences
ICFM DECLARATIONS
ICFM9
ICFM8
ICFM7
ICFM6
ICFM5
ISFD4
ISFD3
ISFD2
ISFD1
Webinars
Awards
Views
Brief Statements
Papers
Reports
Presentations
Applications
Books
Education
Contact
Ad Hoc Committee Chairperson
Secretariat of ICFM
Subscribe successfully!
ICFM DECLARATIONS
ICFM9
ICFM8
ICFM7
ICFM6
ICFM5
ISFD4
ISFD3
ISFD2
ISFD1
The 5
th
International Conference on Flood Management
“Floods: From Risk to Opportunity”
September 27-29, 2011
Tokyo, Japan
Plenary sessions
Learn more
ICFM Declarations
Introduction
Sponsorship
Committees
Program
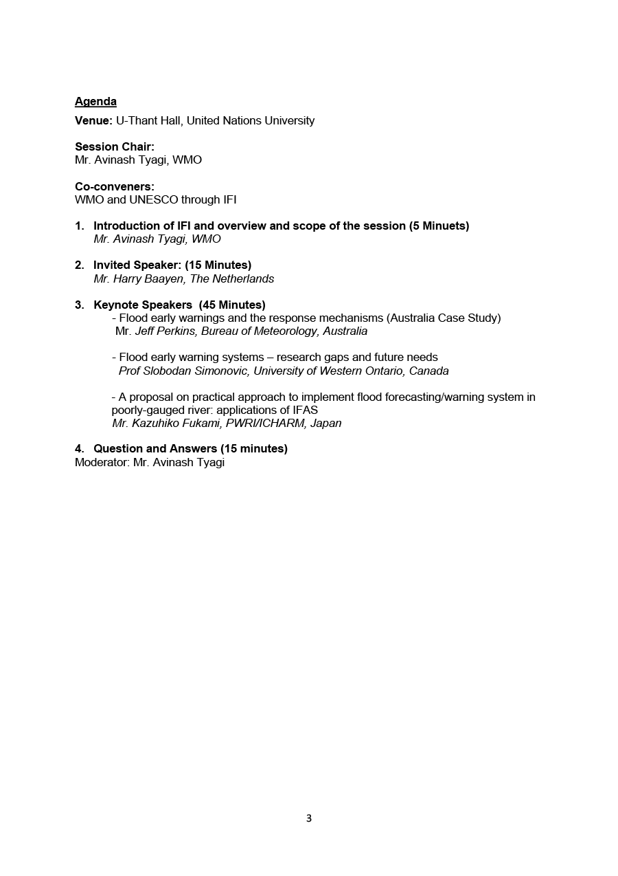
Plenary sessions
Parallel sessions
Other activities
Proceedings
Announcement
Large scale flood report
Log in
We couldn’t find an account matching the username and password
Forgot password?
Log in
Log in
Don't have an account yet?
Sign up
Sign up
First name is required
Last name is required
I agree with the
Terms of use
.
You must agree to the Terms of Service
Sign up
Already have an account?
Log in